Utilize os textos para responder à questão
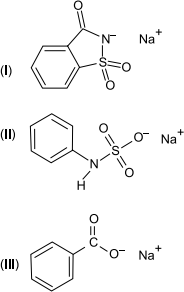
Um refrigerante, de baixa caloria, fabricado no Brasil, tem em sua composição os adoçantes sacarina sódica (I) e ciclamato de sódio (II) e o conservante benzoato de sódio (III).

A imagem do rótulo desse refrigerante é apresentada a seguir:

Considerando que a origem do sódio desse refrigerante é devida, unicamente, aos adoçantes e ao conservante, é correto afirmar que a soma da quantidade total de fórmulas unitárias das substâncias adoçantes e do conservante contidos em uma lata do refrigerante descrito no texto é
Dado: Constante de Avogadro 6,02 x 1023 mol–1
6,02 x 1020.
6,02 x 1023.
6,02 x 1026.
1,86 x 1020.
1,86 x 1023.
Conteúdo Exclusivo
Cadastre-se para ver dicas, estratégias e análise completa desta questão
Criar conta grátis →Fizemos o trabalho difícil para você não ter que fazer
Estudantes como você estão acelerando suas aprovações usando nossa plataforma de AI + aprendizado ativo