UFMS
UFMS 2008
UFMS
📚 + 2.800 questões UFMS
Comece sua preparação

UFMS 2008

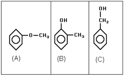
O quadro abaixo apresenta as fórmulas estruturais de três compostos orgânicos: (A) metoxi-benzeno; (B) o-metil fenol e (C) álcool benzílico.



Conclui-se que A, B e C apresentam isomeria de
a
posição.
b
função.
c
compensação.
d
cadeia.
e
tautomeria.
Resposta
B
Resolução
Assine a AIO para ter acesso a esta e muitas outras resoluções
Mais de 300.000 questões com resoluções e dados exclusivos disponíveis para alunos AIO.
E mais: nota TRI a todo o momento.
Esta resolução não é pública. Assine a aio para ter acesso a essa resolução e muito mais: Tenha acesso a simulados reduzidos, mais de 200.000 questões, orientação personalizada, video aulas, correção de redações e uma equipe sempre disposta a te ajudar. Tudo isso com acompanhamento TRI em tempo real.
Dicas
expand_more
expand_less
Dicas sobre como resolver essa questão
Erros Comuns
expand_more
expand_less
Alguns erros comuns que estudantes podem cometer ao resolver esta questão
Conceitos chave
Conceitos chave sobre essa questão, que pode te ajudar a resolver questões similares
Estratégia de resolução
Uma estratégia sobre a forma apropriada de se chegar a resposta correta
Resposta Correta B
Dificuldade Muito Fácil • 100% acertaram
📊

Insights de Estudo

⚗️ Isomerias planas Química

Taxa de Acerto

100% acerto
💡

Material de Estudo

🔓

Conteúdo Exclusivo

Cadastre-se para ver dicas, estratégias e análise completa desta questão

Criar conta grátis
🎓 Vestibular

🎓 AIO + UFMS: Preparação Baseada em Dados

Fizemos o trabalho difícil para você não ter que fazer

📚
2.800
questões UFMS
📊
30%
cobertura de tópicos
🎯
0
alunos prep. para UFMS
Depoimentos

Transforme seus estudos com a AIO!

Estudantes como você estão acelerando suas aprovações usando nossa plataforma de AI + aprendizado ativo

+25 pts
Aumento médio TRI
4x
Simulados mais rápidos
+80 mil
Estudantes
Avatar
Mariana Scheffel
Aprovado
AIO foi fundamental para a evolução do meu número de acertos e notas, tanto no ENEM quanto em outros vestibulares, fornecendo os recursos e as ferramentas necessárias para estudar de forma eficaz e melhorar minhas notas.
Avatar
Jonas de Souza
Aprovado
As correções de redações e as aulas são bem organizadas e é claro os professores são os melhores com a melhor metodologia de ensino, sem dúvidas contribuiu muito para o aumento de 120 pontos na minha média final!
Avatar
Débora Adelina
Aprovado
O que mais gostei foi a forma como a plataforma seleciona matérias em que tenho mais dificuldade, ajudando a focar no que realmente preciso de atenção. Ainda não consegui minha aprovação, mas contarei com a AIO por mais um ano pois a plataforma me aproximou desse objetivo tornando meus estudos mais direcionados!
A AIO utiliza cookies para garantir uma melhor experiência. Ver política de privacidade