UFRGS
UFRGS 0
4º Dia
📚 + 4.330 questões UFRGS
Comece sua preparação

UFRGS HIS MAT 2012

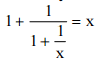
O conjunto solução da equação , com ≠ 0x e ≠ −1x , é igual ao conjunto solução da equação

a

x² - x - 1 = 0.

b

x² + x - 1 = 0.

c

-x² - x + 1 = 0.

d

x² + x + 1 = 0.

e

-x² + x - 1 = 0.

Resposta
A
Tempo médio
16 min
Resolução
Assine a AIO para ter acesso a esta e muitas outras resoluções
Mais de 300.000 questões com resoluções e dados exclusivos disponíveis para alunos AIO.
E mais: nota TRI a todo o momento.
Esta resolução não é pública. Assine a aio para ter acesso a essa resolução e muito mais: Tenha acesso a simulados reduzidos, mais de 200.000 questões, orientação personalizada, video aulas, correção de redações e uma equipe sempre disposta a te ajudar. Tudo isso com acompanhamento TRI em tempo real.
Dicas
expand_more
expand_less
Dicas sobre como resolver essa questão
Erros Comuns
expand_more
expand_less
Alguns erros comuns que estudantes podem cometer ao resolver esta questão
Conceitos chave
Conceitos chave sobre essa questão, que pode te ajudar a resolver questões similares
Estratégia de resolução
Uma estratégia sobre a forma apropriada de se chegar a resposta correta
Resposta Correta A
Dificuldade Difícil • 49% acertaram
Tempo Médio
16min 2s
📊

Insights de Estudo

📐 Equação do 2º grau Matemática

Taxa de Acerto

49% acerto
💡

Material de Estudo

🔓

Conteúdo Exclusivo

Cadastre-se para ver dicas, estratégias e análise completa desta questão

Criar conta grátis
🎓 Vestibular

🎓 AIO + UFRGS: Preparação Baseada em Dados

Fizemos o trabalho difícil para você não ter que fazer

📚
4.330
questões UFRGS
📊
33%
cobertura de tópicos
🎯
0
alunos prep. para UFRGS
Depoimentos

Transforme seus estudos com a AIO!

Estudantes como você estão acelerando suas aprovações usando nossa plataforma de AI + aprendizado ativo

+25 pts
Aumento médio TRI
4x
Simulados mais rápidos
+80 mil
Estudantes
Avatar
Jonas de Souza
Aprovado
As correções de redações e as aulas são bem organizadas e é claro os professores são os melhores com a melhor metodologia de ensino, sem dúvidas contribuiu muito para o aumento de 120 pontos na minha média final!
Avatar
Jairo Thiago
Aprovado
Conheci a plataforma através de uma reportagem e, como gosto de IA, resolvi investir. A quantidade de questões e suas análises foram tão boas que meu número de acertos foi o suficiente para entrar em Medicina na Federal do meu estado, só tenho que agradecer à equipe do AIO pela minha tão sonhada aprovação!
Avatar
Débora Adelina
Aprovado
O que mais gostei foi a forma como a plataforma seleciona matérias em que tenho mais dificuldade, ajudando a focar no que realmente preciso de atenção. Ainda não consegui minha aprovação, mas contarei com a AIO por mais um ano pois a plataforma me aproximou desse objetivo tornando meus estudos mais direcionados!
A AIO utiliza cookies para garantir uma melhor experiência. Ver política de privacidade