UNESP
UNESP 2005
UNESP 1ª Fase
📚 + 4.890 questões UNESP
Comece sua preparação

UNESP 2005

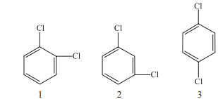
Existem três compostos diclorobenzeno diferentes de fórmula molecular C₆H₄Cl₂, que diferem em relação às posições dos átomos de cloro no anel benzênico, conforme as figuras 1, 2 e 3.



Das três figuras, é polar a fórmula apresentada em
a
3, somente.
b
1 e 2, somente.
c
1 e 3, somente.
d
2 e 3, somente.
e
1, 2 e 3.
Resposta
B
Resolução
Assine a AIO para ter acesso a esta e muitas outras resoluções
Mais de 300.000 questões com resoluções e dados exclusivos disponíveis para alunos AIO.
E mais: nota TRI a todo o momento.
Esta resolução não é pública. Assine a aio para ter acesso a essa resolução e muito mais: Tenha acesso a simulados reduzidos, mais de 200.000 questões, orientação personalizada, video aulas, correção de redações e uma equipe sempre disposta a te ajudar. Tudo isso com acompanhamento TRI em tempo real.
Dicas
expand_more
expand_less
Dicas sobre como resolver essa questão
Erros Comuns
expand_more
expand_less
Alguns erros comuns que estudantes podem cometer ao resolver esta questão
Conceitos chave
Conceitos chave sobre essa questão, que pode te ajudar a resolver questões similares
Estratégia de resolução
Uma estratégia sobre a forma apropriada de se chegar a resposta correta
Resposta Correta B
Dificuldade Fácil • 80% acertaram
📊

Insights de Estudo

⚗️ Polaridade molecular Química

Taxa de Acerto

80% acerto
💡

Material de Estudo

🔓

Conteúdo Exclusivo

Cadastre-se para ver dicas, estratégias e análise completa desta questão

Criar conta grátis
🎓 Vestibular

🎓 AIO + UNESP: Preparação Baseada em Dados

Fizemos o trabalho difícil para você não ter que fazer

📚
4.890
questões UNESP
📊
36%
cobertura de tópicos
🎯
0
alunos prep. para UNESP
Depoimentos

Transforme seus estudos com a AIO!

Estudantes como você estão acelerando suas aprovações usando nossa plataforma de AI + aprendizado ativo

+25 pts
Aumento médio TRI
4x
Simulados mais rápidos
+80 mil
Estudantes
Avatar
Jairo Thiago
Aprovado
Conheci a plataforma através de uma reportagem e, como gosto de IA, resolvi investir. A quantidade de questões e suas análises foram tão boas que meu número de acertos foi o suficiente para entrar em Medicina na Federal do meu estado, só tenho que agradecer à equipe do AIO pela minha tão sonhada aprovação!
Avatar
Mariana Scheffel
Aprovado
AIO foi fundamental para a evolução do meu número de acertos e notas, tanto no ENEM quanto em outros vestibulares, fornecendo os recursos e as ferramentas necessárias para estudar de forma eficaz e melhorar minhas notas.
Avatar
Jonas de Souza
Aprovado
As correções de redações e as aulas são bem organizadas e é claro os professores são os melhores com a melhor metodologia de ensino, sem dúvidas contribuiu muito para o aumento de 120 pontos na minha média final!
A AIO utiliza cookies para garantir uma melhor experiência. Ver política de privacidade