UFRGS
UFRGS 0
3º Dia
📚 + 4.330 questões UFRGS
Comece sua preparação

UFRGS BIO QUIM GEO 2011

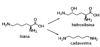
A lisina é oxidada no organismo, formando a hidroxilisina, que é um componente do colágeno. Por outro lado, a degradação da lisina por bactérias durante a putrefação de tecidos animais leva à formação da cadaverina, cujo nome dá uma ideia de seu odor.

Assinale a afirmação correta em relação a estes compostos.

a

A hidroxilisina é um glicídio.

b

A cadaverina é um lipídio.

c

A lisina é uma proteína.

d

A lisina e a hidroxilisina são aminoácidos.

e

A hidroxilisina apresenta ligação peptídica.

Resposta
D
Tempo médio
1 min
Resolução
Assine a AIO para ter acesso a esta e muitas outras resoluções
Mais de 300.000 questões com resoluções e dados exclusivos disponíveis para alunos AIO.
E mais: nota TRI a todo o momento.
Esta resolução não é pública. Assine a aio para ter acesso a essa resolução e muito mais: Tenha acesso a simulados reduzidos, mais de 200.000 questões, orientação personalizada, video aulas, correção de redações e uma equipe sempre disposta a te ajudar. Tudo isso com acompanhamento TRI em tempo real.
Dicas
expand_more
expand_less
Dicas sobre como resolver essa questão
Erros Comuns
expand_more
expand_less
Alguns erros comuns que estudantes podem cometer ao resolver esta questão
Conceitos chave
Conceitos chave sobre essa questão, que pode te ajudar a resolver questões similares
Estratégia de resolução
Uma estratégia sobre a forma apropriada de se chegar a resposta correta
Resposta Correta D
Dificuldade Difícil • 34% acertaram
Tempo Médio
1min 46s
📊

Insights de Estudo

⚗️ Bioquímica Química

Taxa de Acerto

34% acerto
💡

Material de Estudo

🔓

Conteúdo Exclusivo

Cadastre-se para ver dicas, estratégias e análise completa desta questão

Criar conta grátis
🎓 Vestibular

🎓 AIO + UFRGS: Preparação Baseada em Dados

Fizemos o trabalho difícil para você não ter que fazer

📚
4.330
questões UFRGS
📊
33%
cobertura de tópicos
🎯
0
alunos prep. para UFRGS
Depoimentos

Transforme seus estudos com a AIO!

Estudantes como você estão acelerando suas aprovações usando nossa plataforma de AI + aprendizado ativo

+25 pts
Aumento médio TRI
4x
Simulados mais rápidos
+80 mil
Estudantes
Avatar
Mariana Scheffel
Aprovado
AIO foi fundamental para a evolução do meu número de acertos e notas, tanto no ENEM quanto em outros vestibulares, fornecendo os recursos e as ferramentas necessárias para estudar de forma eficaz e melhorar minhas notas.
Avatar
Débora Adelina
Aprovado
O que mais gostei foi a forma como a plataforma seleciona matérias em que tenho mais dificuldade, ajudando a focar no que realmente preciso de atenção. Ainda não consegui minha aprovação, mas contarei com a AIO por mais um ano pois a plataforma me aproximou desse objetivo tornando meus estudos mais direcionados!
Avatar
Jairo Thiago
Aprovado
Conheci a plataforma através de uma reportagem e, como gosto de IA, resolvi investir. A quantidade de questões e suas análises foram tão boas que meu número de acertos foi o suficiente para entrar em Medicina na Federal do meu estado, só tenho que agradecer à equipe do AIO pela minha tão sonhada aprovação!
A AIO utiliza cookies para garantir uma melhor experiência. Ver política de privacidade